skip to main
|
skip to sidebar
MATEMÁTICAS JUAN LARA
lunes, 10 de noviembre de 2014
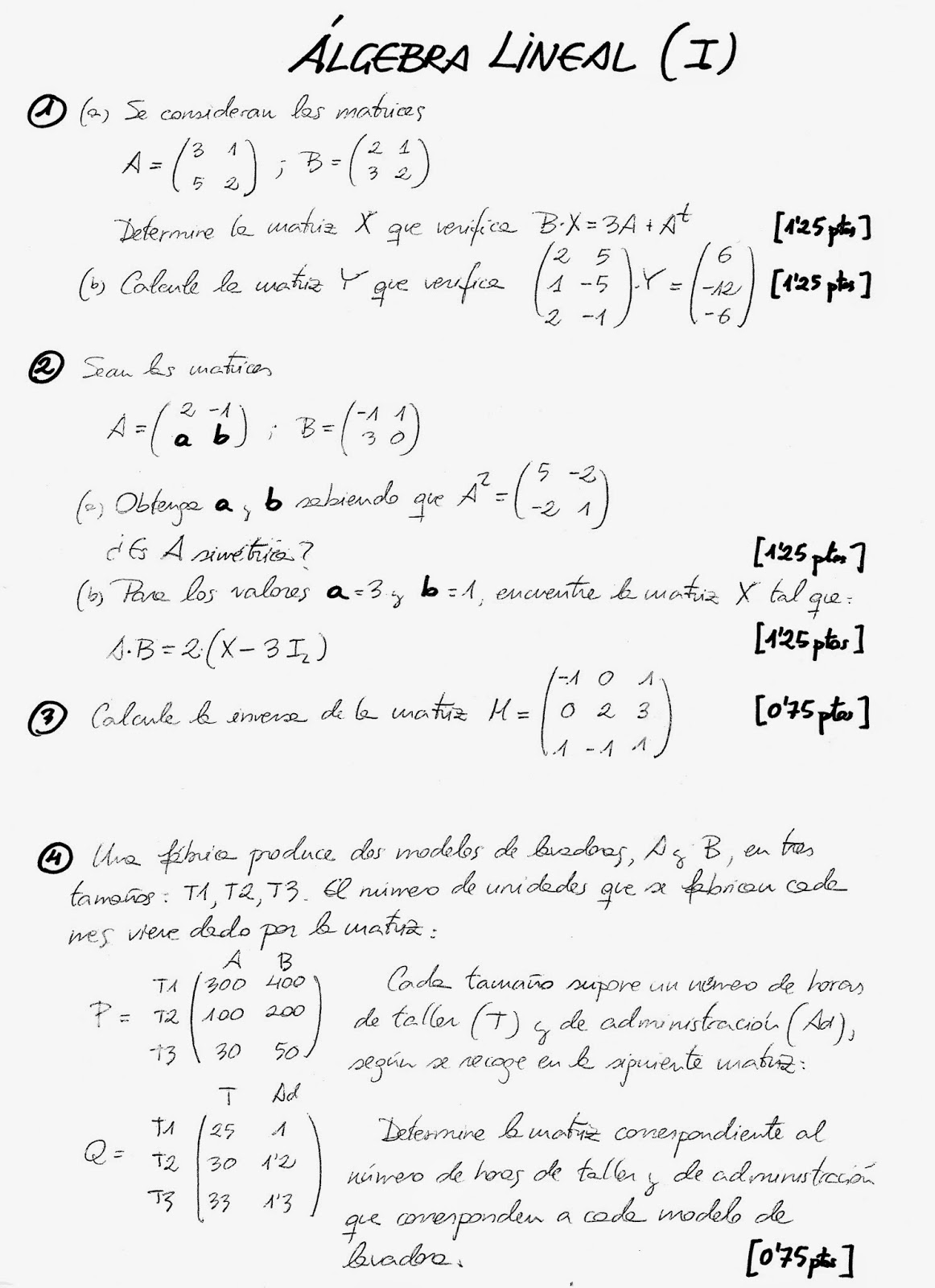
2BSC: SOLUCIONES DEL EXAMEN DE MATRICES
MATRICES:
Examen de 2ºBSC
Haz clic en cada imagen para verla a tamaño completo
Entradas más recientes
Entradas antiguas
Inicio
Suscribirse a:
Comentarios (Atom)
Páginas
Página principal
BUSCA EN EL DEPARTAMENTO DE MATEMÁTICAS ...
Etiquetas
1º BC
(2)
1ºBach.CC.SS.
(12)
2ºBachilleratoCiencias
(18)
2ºBachilleratoSociales
(47)
2ºESO
(20)
ACT 4º
(15)
álgebra
(20)
análisis
(15)
animaciones
(2)
applets
(2)
bachillerato
(54)
cabri
(1)
cinderella
(1)
continuidad
(11)
contraste
(10)
derivadas
(10)
distribución binomial
(5)
distribución normal
(9)
estadística
(11)
flash
(1)
funciones
(14)
geogebra
(4)
graph
(2)
hot potatoes
(1)
inferencia
(15)
java
(5)
límites
(9)
matrices
(21)
muestras
(13)
operaciones
(2)
para ver leer y pensar
(5)
pendientes
(8)
presentaciones
(2)
probabilidad
(23)
programación lineal
(14)
refuerzo
(3)
regresión y correlación
(3)
selectividad
(4)
soluciones
(40)
Archivo del blog
►
2015
(5)
►
05/31 - 06/07
(2)
►
04/12 - 04/19
(1)
►
04/05 - 04/12
(1)
►
02/15 - 02/22
(1)
▼
2014
(26)
►
12/14 - 12/21
(2)
►
11/30 - 12/07
(2)
►
11/16 - 11/23
(1)
▼
11/09 - 11/16
(1)
2BSC: SOLUCIONES DEL EXAMEN DE MATRICES
►
11/02 - 11/09
(1)
►
10/26 - 11/02
(1)
►
10/19 - 10/26
(6)
►
09/21 - 09/28
(2)
►
06/29 - 07/06
(1)
►
06/15 - 06/22
(1)
►
05/25 - 06/01
(2)
►
05/11 - 05/18
(1)
►
04/20 - 04/27
(1)
►
03/23 - 03/30
(1)
►
03/02 - 03/09
(1)
►
02/23 - 03/02
(1)
►
02/16 - 02/23
(1)
►
2013
(8)
►
11/03 - 11/10
(1)
►
10/20 - 10/27
(1)
►
05/26 - 06/02
(1)
►
05/05 - 05/12
(1)
►
04/07 - 04/14
(2)
►
03/17 - 03/24
(1)
►
02/24 - 03/03
(1)
►
2012
(3)
►
11/25 - 12/02
(1)
►
11/18 - 11/25
(1)
►
04/15 - 04/22
(1)
►
2011
(21)
►
10/09 - 10/16
(2)
►
05/29 - 06/05
(1)
►
05/15 - 05/22
(1)
►
05/08 - 05/15
(2)
►
04/24 - 05/01
(1)
►
04/10 - 04/17
(1)
►
03/27 - 04/03
(2)
►
03/20 - 03/27
(1)
►
03/06 - 03/13
(2)
►
02/20 - 02/27
(1)
►
02/06 - 02/13
(1)
►
01/30 - 02/06
(1)
►
01/16 - 01/23
(3)
►
01/09 - 01/16
(2)
►
2010
(39)
►
12/26 - 01/02
(2)
►
12/19 - 12/26
(1)
►
12/12 - 12/19
(1)
►
12/05 - 12/12
(1)
►
10/10 - 10/17
(4)
►
09/26 - 10/03
(1)
►
06/20 - 06/27
(1)
►
06/13 - 06/20
(1)
►
06/06 - 06/13
(1)
►
05/30 - 06/06
(1)
►
05/16 - 05/23
(2)
►
05/09 - 05/16
(1)
►
05/02 - 05/09
(2)
►
04/25 - 05/02
(2)
►
04/04 - 04/11
(7)
►
03/21 - 03/28
(1)
►
03/14 - 03/21
(1)
►
02/28 - 03/07
(1)
►
02/21 - 02/28
(1)
►
02/14 - 02/21
(1)
►
01/31 - 02/07
(1)
►
01/24 - 01/31
(1)
►
01/10 - 01/17
(4)
►
2009
(30)
►
12/13 - 12/20
(2)
►
12/06 - 12/13
(1)
►
11/29 - 12/06
(1)
►
11/22 - 11/29
(5)
►
11/01 - 11/08
(1)
►
10/25 - 11/01
(2)
►
10/18 - 10/25
(1)
►
10/04 - 10/11
(6)
►
09/27 - 10/04
(2)
►
04/19 - 04/26
(1)
►
03/15 - 03/22
(3)
►
02/15 - 02/22
(2)
►
02/01 - 02/08
(2)
►
01/11 - 01/18
(1)
MARCADORES
Amo las mates
DESCARTES
Matemáticas en tu mundo
WIRIS (calculadora gráfica)
ZONA CLIC
Mi lista de blogs